Belediyede işe gitmeyen personele 23 ay maaş ödenmiş: Tam 555 bin TL
Güncel
(İHA) - İhlas Haber Ajansı |
24.04.2026 - 09:30, Güncelleme:
24.04.2026 - 09:19 377 kez okundu.
Belediyede işe gitmeyen personele 23 ay maaş ödenmiş: Tam 555 bin TL
Belediyede işe gitmeyen personele 23 ay maaş ödenmiş: Tam 555 bin TL
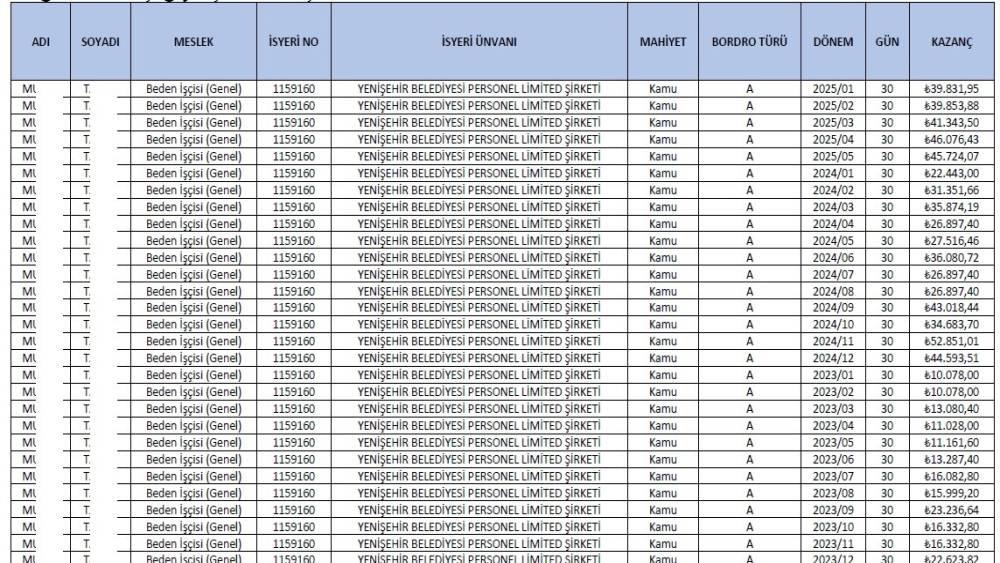
Mersin Yenişehir Belediyesi’ne yönelik düzenlenen biri başkan yardımcısı 12 şüphelinin tutuklandığı operasyonda yurt dışına giden bir personelin dönmediği 23 ay süreyle de maaş olarak 555 bin TL ödendiği ortaya çıktı.Alınan bilgiye göre, Mersin Cumhuriyet Başsavcılığı koordinesinde İl Emniyet Müdürlüğü KOM Şubesi ekipleri, 10 Nisan’da CHP’li Yenişehir Belediyesi’ne yönelik ihalede yolsuzluk, rüşvet ve irtikap suçlarından operasyon düzenledi. Operasyonda aralarından belediye başkan yardımcısı, şube müdürleri, belediye personeli ile şirket sahiplerinin de olduğu 31 şüpheli yakalandı. Yakalanan şüphelilerin emniyette ifadesi alındı. Emniyette ifadesi alınıp adliyeye sevk edilen şüphelilerden 19’u mahkemeden adli kontrol şartı ile serbest kaldı. Aralarında başkan yardımcısı ve şube müdürleri ile şirket sahiplerinin de olduğu 12 şüpheli ise tutuklandı. Operasyon çerçevesinde şüphelilere ait 29 taşınmaz ile 13 araç hakkında el koyma kararı verildi.İşe gelmeyen personele 23 ay boyunca maaş ödenmişOperasyon çerçevesinde polisin yaptığı araştırmalarda Yenişehir Belediyesi Personel Ltd. Şti.’de SGK kaydı bulunan ve 2018 yılında işe başladığı öğrenilen M.T.’nin 04.10.2023 tarihinde yurt dışına çıktığı bir daha da ülkeye dönmediği belirlendi. Yurt dışında terör örgütü propagandası da yaptığı ileri sürülen M.T.’ye ise 2025 yılının mayıs ayında kadar tam maaş aldığı toplam 555 bin 600 TL’lik ödeme yapıldığı ortaya çıktı. 23 ay işe gelmeden maaş alan ve yurt dışından gelmeyen personel hakkında neden bu kadar süre beklendiği bilinmezken, olayın ortaya çıkmasının ardından ödenen maaş miktarının geri alındığı ileri sürüldü."Para iade edilmişse kurum zararı da giderilmiştir" savunmasıYenişehir Belediyesi eski başkan yardımcısı mevcut Dış İlişkiler Müdürü C.K.’nin olayla ilgili ifadesinde, "M.T. isimli şahsı tanımıyorum, birim bana bağlı değildir. Bu şahıs tarafından paranın da iade edildiğini duydum. Para iade edilmişse kurum zararı da giderilmiştir" dediği öğrenildi.İşe gelip gitmesinden şirket sorumlu değilmişYenişehir Belediyesi Personel Ltd. Şti.’nin geçmiş dönemlerde müdürlüğünü yapan ve izin belgelerinde imzası olduğu öğrenilen S.O.O.’nun ifadesinde ise, "Konuyu tespit eden, ortaya çıkaran ve belediye başkanımıza bilgi veren kişi benim. Yine yürütülen soruşturma safhasında M.T.’nin ne kadar kadar sigortalı gösterildiğini, ne kadar haksız maaş aldığını tespit edip faiziyle birlikte soruşturmayı yürüten başkan yardımcısına bildiren kişi benimdir. Bu şahsın işe alındığı dönemde ben görevde değildim. Ayrıca belediyede çalışan personelin işe gelip gitmesinden Personel Ltd. Şti. sorumlu değildir. Herkes kendi biriminden sorumludur" diyerek savunma yaptığı ortaya çıktı.
Belediyede işe gitmeyen personele 23 ay maaş ödenmiş: Tam 555 bin TL
Mersin Yenişehir Belediyesi’ne yönelik düzenlenen biri başkan yardımcısı 12 şüphelinin tutuklandığı operasyonda yurt dışına giden bir personelin dönmediği 23 ay süreyle de maaş olarak 555 bin TL ödendiği ortaya çıktı.
Alınan bilgiye göre, Mersin Cumhuriyet Başsavcılığı koordinesinde İl Emniyet Müdürlüğü KOM Şubesi ekipleri, 10 Nisan’da CHP’li Yenişehir Belediyesi’ne yönelik ihalede yolsuzluk, rüşvet ve irtikap suçlarından operasyon düzenledi. Operasyonda aralarından belediye başkan yardımcısı, şube müdürleri, belediye personeli ile şirket sahiplerinin de olduğu 31 şüpheli yakalandı. Yakalanan şüphelilerin emniyette ifadesi alındı. Emniyette ifadesi alınıp adliyeye sevk edilen şüphelilerden 19’u mahkemeden adli kontrol şartı ile serbest kaldı. Aralarında başkan yardımcısı ve şube müdürleri ile şirket sahiplerinin de olduğu 12 şüpheli ise tutuklandı. Operasyon çerçevesinde şüphelilere ait 29 taşınmaz ile 13 araç hakkında el koyma kararı verildi.
İşe gelmeyen personele 23 ay boyunca maaş ödenmiş
Operasyon çerçevesinde polisin yaptığı araştırmalarda Yenişehir Belediyesi Personel Ltd. Şti.’de SGK kaydı bulunan ve 2018 yılında işe başladığı öğrenilen M.T.’nin 04.10.2023 tarihinde yurt dışına çıktığı bir daha da ülkeye dönmediği belirlendi. Yurt dışında terör örgütü propagandası da yaptığı ileri sürülen M.T.’ye ise 2025 yılının mayıs ayında kadar tam maaş aldığı toplam 555 bin 600 TL’lik ödeme yapıldığı ortaya çıktı. 23 ay işe gelmeden maaş alan ve yurt dışından gelmeyen personel hakkında neden bu kadar süre beklendiği bilinmezken, olayın ortaya çıkmasının ardından ödenen maaş miktarının geri alındığı ileri sürüldü.
"Para iade edilmişse kurum zararı da giderilmiştir" savunması
Yenişehir Belediyesi eski başkan yardımcısı mevcut Dış İlişkiler Müdürü C.K.’nin olayla ilgili ifadesinde, "M.T. isimli şahsı tanımıyorum, birim bana bağlı değildir. Bu şahıs tarafından paranın da iade edildiğini duydum. Para iade edilmişse kurum zararı da giderilmiştir" dediği öğrenildi.
İşe gelip gitmesinden şirket sorumlu değilmiş
Yenişehir Belediyesi Personel Ltd. Şti.’nin geçmiş dönemlerde müdürlüğünü yapan ve izin belgelerinde imzası olduğu öğrenilen S.O.O.’nun ifadesinde ise, "Konuyu tespit eden, ortaya çıkaran ve belediye başkanımıza bilgi veren kişi benim. Yine yürütülen soruşturma safhasında M.T.’nin ne kadar kadar sigortalı gösterildiğini, ne kadar haksız maaş aldığını tespit edip faiziyle birlikte soruşturmayı yürüten başkan yardımcısına bildiren kişi benimdir. Bu şahsın işe alındığı dönemde ben görevde değildim. Ayrıca belediyede çalışan personelin işe gelip gitmesinden Personel Ltd. Şti. sorumlu değildir. Herkes kendi biriminden sorumludur" diyerek savunma yaptığı ortaya çıktı.
Alınan bilgiye göre, Mersin Cumhuriyet Başsavcılığı koordinesinde İl Emniyet Müdürlüğü KOM Şubesi ekipleri, 10 Nisan’da CHP’li Yenişehir Belediyesi’ne yönelik ihalede yolsuzluk, rüşvet ve irtikap suçlarından operasyon düzenledi. Operasyonda aralarından belediye başkan yardımcısı, şube müdürleri, belediye personeli ile şirket sahiplerinin de olduğu 31 şüpheli yakalandı. Yakalanan şüphelilerin emniyette ifadesi alındı. Emniyette ifadesi alınıp adliyeye sevk edilen şüphelilerden 19’u mahkemeden adli kontrol şartı ile serbest kaldı. Aralarında başkan yardımcısı ve şube müdürleri ile şirket sahiplerinin de olduğu 12 şüpheli ise tutuklandı. Operasyon çerçevesinde şüphelilere ait 29 taşınmaz ile 13 araç hakkında el koyma kararı verildi.
İşe gelmeyen personele 23 ay boyunca maaş ödenmiş
Operasyon çerçevesinde polisin yaptığı araştırmalarda Yenişehir Belediyesi Personel Ltd. Şti.’de SGK kaydı bulunan ve 2018 yılında işe başladığı öğrenilen M.T.’nin 04.10.2023 tarihinde yurt dışına çıktığı bir daha da ülkeye dönmediği belirlendi. Yurt dışında terör örgütü propagandası da yaptığı ileri sürülen M.T.’ye ise 2025 yılının mayıs ayında kadar tam maaş aldığı toplam 555 bin 600 TL’lik ödeme yapıldığı ortaya çıktı. 23 ay işe gelmeden maaş alan ve yurt dışından gelmeyen personel hakkında neden bu kadar süre beklendiği bilinmezken, olayın ortaya çıkmasının ardından ödenen maaş miktarının geri alındığı ileri sürüldü.
"Para iade edilmişse kurum zararı da giderilmiştir" savunması
Yenişehir Belediyesi eski başkan yardımcısı mevcut Dış İlişkiler Müdürü C.K.’nin olayla ilgili ifadesinde, "M.T. isimli şahsı tanımıyorum, birim bana bağlı değildir. Bu şahıs tarafından paranın da iade edildiğini duydum. Para iade edilmişse kurum zararı da giderilmiştir" dediği öğrenildi.
İşe gelip gitmesinden şirket sorumlu değilmiş
Yenişehir Belediyesi Personel Ltd. Şti.’nin geçmiş dönemlerde müdürlüğünü yapan ve izin belgelerinde imzası olduğu öğrenilen S.O.O.’nun ifadesinde ise, "Konuyu tespit eden, ortaya çıkaran ve belediye başkanımıza bilgi veren kişi benim. Yine yürütülen soruşturma safhasında M.T.’nin ne kadar kadar sigortalı gösterildiğini, ne kadar haksız maaş aldığını tespit edip faiziyle birlikte soruşturmayı yürüten başkan yardımcısına bildiren kişi benimdir. Bu şahsın işe alındığı dönemde ben görevde değildim. Ayrıca belediyede çalışan personelin işe gelip gitmesinden Personel Ltd. Şti. sorumlu değildir. Herkes kendi biriminden sorumludur" diyerek savunma yaptığı ortaya çıktı.
Mersin HABERİ
Anadolu Ajansı (AA), İhlas Haber Ajansı (İHA), Demirören Haber Ajansı (DHA) ve diğer ajanslar tarafından eklenen tüm haberler, sitemizin editörlerinin müdahalesi olmadan ajans kanallarından çekilmektedir. Bu haberlerde yer alan hukuki muhataplar haberi geçen ajanslar olup sitemizin hiç bir editörü sorumlu tutulamaz...
Habere ifade bırak !
Bu habere hiç ifade kullanılmamış ilk ifadeyi siz kullanın.
Habere ait etiket tanımlanmamış.
